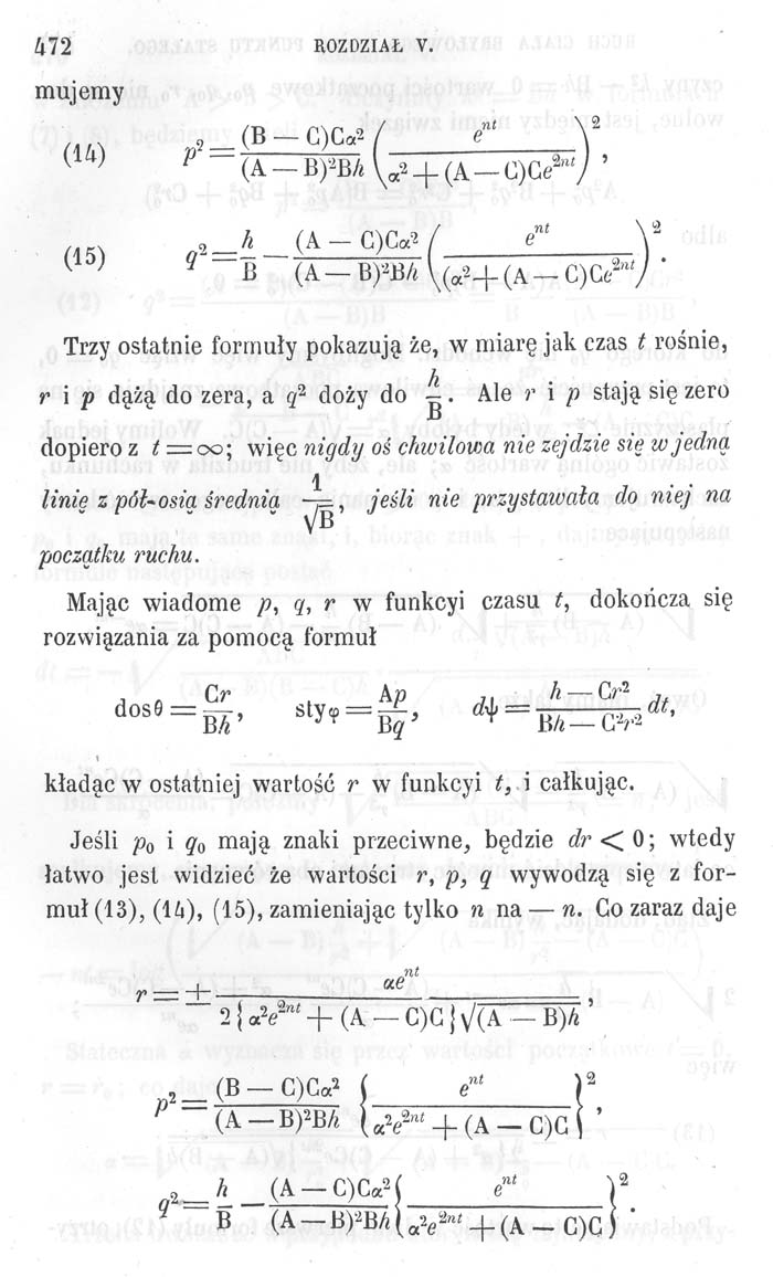
<<< Wstecz Spis treści Dalej >>>
472 / 890
Strona
472 / 890
<<< Wstecz Spis treści Dalej >>>