<<< Wstecz Spis treści Dalej >>>
366 / 890
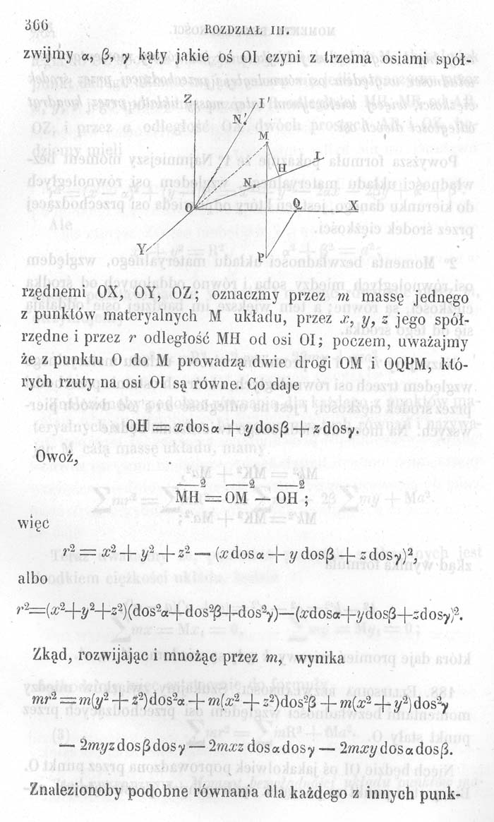
Strona
366 / 890
<<< Wstecz Spis treści Dalej >>>