<<< Wstecz Spis treści Dalej >>>
346 / 890
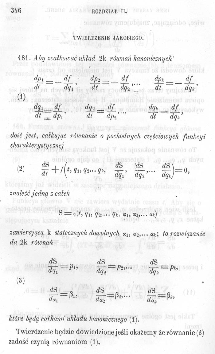
Strona
346 / 890
<<< Wstecz Spis treści Dalej >>>